In VO, it is possible to add IDF groups (IDF Group) . However, to calculate IDF manually, you can do the following steps:

To calculate IDF, we need recorded precipitation values.
Step 1
For each year, select the maximum precipitation with different duration. For example, precipitation with duration 15, 30, 45, 60, 90, 120, 180, and 360 min. Do frequency analysis by fitting a suitable statical distribution on each duration. So, we can calculate precipitation (P) with the desired return period (T) for each duration ( ). For example,

Step 2
Select the maximum daily precipitation for each year. Do frequency analysis by fitting a suitable statical distribution on maximum daily precipitation. That way, we can calculate daily precipitation ( ) with desired return period (T). For example,

Suppose that the vertical axis of the IDF graph is precipitation value (P). At the end, we can calculate I = P/time . The reason for this assumption is that we have recorded the amount of precipitation, and we don’t have its intensity.
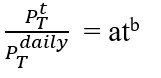
Step 3
The equation for IDF curves is R = at^b which 
So, 
We apply the log on both sides of the equation.

Now, we have a linear equation like A = B + C log t. In this equation, we have already calculated A, but B and C are unknown.
Step 4
To calculate B and C, we need to do a regression for each return period. For example, for the return period of 10 we have:


A = B + C log t is equal to y = 0.4089x – 1.2485
B = log a = – 1.2485
C = b = 0.4089
So, for T=10 we have: R = 5.3432*t^0.4089
If we do R/duration, we will have the intensity.

References:
Bahmani, R. Radmanesh, F. Eslamian, S. Khorsandi, M. Zamani, R. Proper rainfall for peak flow estimation by integration of L-Moment method and a hydrologic model. International Research Journal of Applied and Basic Sciences 2013 Vol.4 No.10 pp.2959-2967 ref.11
Bahmani, R. Eslamian, S. Khorsandi, M. Hosseinipour, Z. Combination of L-Moments Method and Hydrological Model for Design Flood Hydrograph Determination. World Environmental and Water Resources Congress 2013 : Showcasing the Future . 2013. doi:10.1061/9780784412947.320

