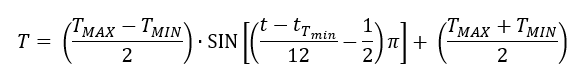
Visual OTTHYMO uses the daily maximum and minimum temperature. When the simulation time step is smaller than daily, the temperature of each time step is interpolated assuming the temperature during the day follows a sinusoidal time-varying function. Therefore, the temperature of each time step is calculated as:

where:
T = temperature for current time step (°C),
= daily maximum daily temperature (°C),
= daily maximum daily temperature (°C),
t = current time (hours),
= time when minimum temperature occurs (hours).
Usually, the maximum daily temperature is assumed to occur at 3:00PM and the minimum daily temperature at 3:00AM, i.e. !https://manula.r.sizr.io/large/user/17531/img/ttmin.png!=3. A sample curve is shown in the figure below

Temperature Time-vary Curve During Day

