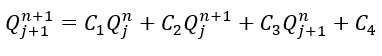
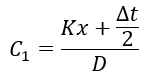
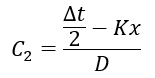
The outflow hydrograph at the downstream end is calculated using the following formula.

where:





where:
Q = discharge
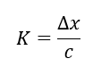
K = travel time in seconds
x = weighting factor, 0 <= x <= 0.5
∆x = subreach length
∆t = time interval
q = lateral flow
c = wave celerity
The parameters of K and x are expressed as follows (Cunge, 1969 and Ponce, 1978):


where:
B = top width
S = the channel slope.

