Pollutant Generation
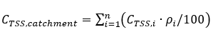
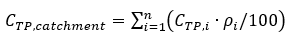
Pollutant generated at a catchment is calculated with the Event Mean Concentration (EMC) and area of each landuse.


where:


and
– percentage of a land use type i, defined as a proportion out of 100
and
– concentrations of total suspended solid (TSS) and total phosphorus (TP) of a land use type i
and
are defined in VO Resource Library based on. The data were extracted from Low Impact Development Treatment Train Tool (LID-TTT) which was developed via Sustainable Technologies Evaluation Program. The tool defines the concentration of TSS and TP for different types of land uses.
Table 10.2 TYPICAL TSS AND TP CONCENTRATIONS BASED ON LAND USE
Pollutant removal by LID
It is assumed that TSS and TP concentrations of LID overflow will be the same as the inflow. The pollutant will be removed through LID, so the TSS and TP in the underdrain and the outflow are calculated based on the user-defined removal efficiency:


where:




The loading is calculated by:

where:
L – pollutant loading in mass unit
C – concentration of TSS or TP
V – volume of overflow, underdrain or outflow


